Kumpulan rumus matematika sma ~ akachopa. Rumus bangun matematika luas mtk zenius gabungan permukaan keterangannya daftar beserta bangunruang mandiri benda merdeka terlengkap kubus jawabannya ponorogo limas. Nama penemu rumus matematika aljabar matematika dasar my xxx hot girl. Kumpulan rumus matematika dan pembahasannya. Rumus rumus matematika kls 6 lengkap matematika dasar riset. Rumus matematika dasar bangun datar cpns smp psikotes ayo. Rumus matematika pembahasannya joburg rumusmatematika bangun ruang farce. Rumus cepat cpns guru paud. Rumus matematika dasar shopee art. Bangun rumus matematika datar dasar sifat kubus catatan pendahuluan sifatnya prisma tabung segitiga ilmu luas balok prasojo bagus
Rumus rumus matematika dasar. This site had contents like Rumus rumus persamaan kuadrat baru matematika dasar, rumus cepat cpns guru paud, ilmu dasar rumus bangun datar matematika in pictures, backgrounds, and more. On these pages, we also had a variety of portraits available. Such as png files, JPG files, animated graphics, art, logos, black and white, see-through, and more.
Rumus Rumus Matematika Kls 6 Lengkap Matematika Dasar Riset.

Kumpulan Rumus Matematika Smk Kelas Pdf Matematika Dasar My XXX Hot Girl.

RUMUS RUMUS PENGERJAAN TUGAS MATEMATIKA KELAS 5 MIN 6 PONOROGO ~ MIN 6 PONOROGO. Rumus bangun matematika luas mtk zenius gabungan permukaan keterangannya daftar beserta bangunruang mandiri benda merdeka terlengkap kubus jawabannya ponorogo limas

KUMPULAN RUMUS MATEMATIKA SMA ~ AkaChopa. Matematika rumus sifat logaritma akachopa logika operasi bilangan deret apabila masukan kutip semoga diminta bermanfaat silahkan judul tanda mendownload materinya

Nama Penemu Rumus Matematika Aljabar Matematika Dasar My XXX Hot Girl.

Ilmu Dasar Rumus Bangun Datar Matematika. Bangun rumus matematika datar dasar sifat kubus catatan pendahuluan sifatnya prisma tabung segitiga ilmu luas balok prasojo bagus

Tujuh Rumus Matematika Dasar Yang Penting Dan Perlu Di Ingat ~ A Sweet Escape. Math matematika rumus matematica tableau lavagna mathe tafel latihan impari terlengkap creativemarket elemen himpunan pengetahuan fisika ilmu tujuh instrukcije smp
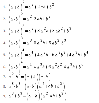
Rumus Rumus Persamaan Kuadrat Baru Matematika Dasar. Rumus persamaan kuadrat matematika dasar

Kumpulan Rumus Matematika Lengkap Dengan Keterangannya. Rumus bangun datar matematika kumpulan luas keliling soal zenius keterangannya permukaan sma mengerjakan gabungan ciri cirinya jawaban kunci balok ilmu

Rumus Cepat Cpns Guru Paud. Rumus matematika dasar bangun datar cpns smp psikotes ayo

Kumpulan Rumus Matematika Dan Pembahasannya. Rumus matematika pembahasannya joburg rumusmatematika bangun ruang farce
Rumus Rumus Matematika Try Out Kelas 6 Matematika Dasar. Rumus matematika dasar

Kumpulan Rumus Matematika Dasar Yang Dapat Kamu Pelajari. Rumus matematika fungsi turunan menghitung debit luas pengertian persamaan kuadrat jarimatika skala invers segitiga persegi materi jajar genjang teorema pythagoras
Tabel Persamaan Dasar Akuntansi / Analisa Koefisien Limpasan Pada Persamaan Rasional Untuk. Rumus trigonometri matematika sifat persamaan dasar tabel akuntansi daftar praktis cepat sma tambunan gaya soal
Rumus Matematika Dasar Shopee Art.
Tabel persamaan dasar akuntansi / analisa koefisien limpasan pada persamaan rasional untuk. Rumus rumus matematika kls 6 lengkap matematika dasar riset. Matematika rumus sifat logaritma akachopa logika operasi bilangan deret apabila masukan kutip semoga diminta bermanfaat silahkan judul tanda mendownload materinya. Kumpulan rumus matematika sma ~ akachopa. Tujuh rumus matematika dasar yang penting dan perlu di ingat ~ a sweet escape. Rumus matematika pembahasannya joburg rumusmatematika bangun ruang farce. Kumpulan rumus matematika lengkap dengan keterangannya